How Did Earth’s Animal Life Transition From Aquatic To Terrestrial Environments?
The transition from aquatic to terrestrial life has been one of the most significant evolutionary challenges. This decisive process in the evolution of life on Earth required a profound renewal of the genome.
But what changes did genomes undergo to facilitate the transition to the terrestrial environment? Now, a study published in the journal Nature reconstructs the key genomic adaptations at different stages of the evolutionary transition to terrestrial ecosystems. The results show that, although each lineage followed its own evolutionary path, many adaptive functions evolved independently and repeatedly.
The study is led by Marta Álvarez-Presas, currently at the Faculty of Biology and the Biodiversity Research Institute (IRBio) of the University of Barcelona, and Jordi Paps, from the University of Bristol (United Kingdom). The first author is Jialin Wei, a PhD student under the supervision of Álvarez-Presas and Paps.
The paper outlines, for the first time, a global vision within a temporal scale of the terrestrial colonization of animals and reveals that much of the adaptation to life outside the aquatic environment is a surprisingly predictable process in response to the same environmental challenges.
How was the transition to the terrestrial environment?
Unlike plants, the study of the genomic basis of animal terrestrialization is still poorly characterized because many key groups have not been sufficiently studied at the genomic level. Recently, several initiatives have been launched to sequence these genomes, and this information is now becoming available to the scientific community for use in new studies on genes and evolution.
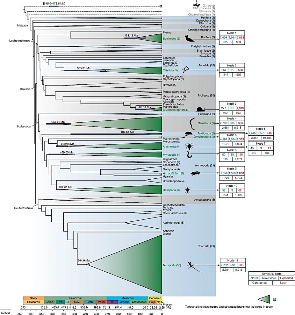
To try to solve some of these unknown aspects, the team analysed 154 genomes from 21 animal phyla to reconstruct the genomic adaptations associated with eleven independent events of terrestrialization. The study applies an integrative approach and combines comparative genomic analysis, functional annotation and evolutionary reconstruction of the time scale.
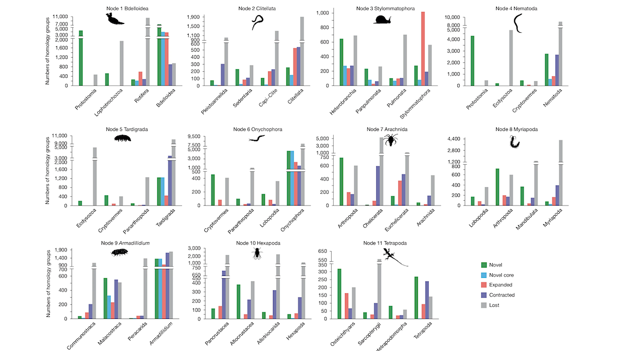
“In the study, we found that all terrestrial lineages, despite evolving separately, have gained and lost genes in a convergent manner to cope with the challenges of the terrestrial environment. The most recurrent innovations are related to osmoregulation — controlling water and salts in the body to avoid dehydration or water saturation — protection against environmental stress, immunity, metabolism, sensory perception, and reproduction,” explains Marta Álvarez-Presas, from the Department of Evolutionary Biology, Ecology, and Environmental Sciences.
“Gene losses have also played an important role in the transition to land; some have coincided in different groups,” says Jialin Wei, first author of the paper. “However, other changes are unique to each group and reflect evolutionary pathways”, says Jordi Paps.
An independent process that is repeated in several lineages
Terrestrialization has occurred independently multiple times within different lineages of the animal kingdom. However, each of these natural experiments in adaptation to the terrestrial environment had to overcome similar physiological and environmental challenges.
In this context of challenges for survival, evolutionary convergence has played a crucial role. “Many genomic adaptations to terrestrial animal life are convergent, suggesting broadly predictable molecular responses. Faced with similar ecological challenges, such as the risk of desiccation or low salinity, animals that have colonized the land have repeatedly arrived at similar molecular solutions. This shows that there are responses that life tends to repeat when faced with the same evolutionary pressures,” says Álvarez-Presas.
The study reveals that evolution is both predictable and contingent. There are adaptations that emerge time and time again because they are necessary for life outside water. “But each lineage also follows its own path, conditioned by its evolutionary past and its environment and associated pressures. Terrestrialization exemplifies this balance: patterns are repeated, but never identically,” explains the researcher.
Lineages that have made an evolutionary transition to the terrestrial environment show strong gene renewal, especially those that are completely terrestrial, which have gained more new genes to regulate water and protect themselves in a much drier environment such as the terrestrial environment.
“For example, terrestrial vertebrates and terrestrial molluscs, such as snails and slugs found in our gardens, are among those that incorporate the most innovations, such as the expansion of gene families related to ion transport or specific modifications in metabolism to reduce water loss,” Wei points out.
“We have also found convergent losses of genes associated with regeneration in several terrestrial groups, a function that is possibly less essential outside the aquatic environment. However, incomplete genomic coverage may increase these figures as we incorporate more species into future analyses.
Rewriting the evolutionary history of the planet
One of the most surprising results of the study has been the identification of three major waves of terrestrialization — which coincide with major global ecological changes — as well as the fact that there are similar functions between lineages that separated more than 500 million years ago.
“This temporal pattern gives us a unique perspective on how life on Earth has been rewritten throughout different geological eras. Furthermore, although it was to be expected, the extent of genomic renewal we have detected and the recurrence of osmoregulatory functions in all groups is remarkable, confirming that maintaining water and ionic balance was a ‘bottleneck’ for conquering the Earth,” concludes the researcher.

The phylogeny is based on 154 sampled taxa, with taxon sampling numbers shown after clade names in parentheses. Terrestrial events are highlighted in green text. HG content of terrestrial nodes is displayed in each corresponding box (from left to right, top to bottom: novel HGs, novel core HGs, expanded HGs, contracted HGs and lost HGs). Branch lengths are scaled to evolutionary time, with divergence times and 95% highest posterior density intervals indicated for terrestrial nodes. Organism silhouettes (sourced from phylopic.org and the authors, released under public domain dedication (CC0 1.0 Universal)) represent the 11 terrestrial events. Geological time abbreviations are as follows: Neop., Neoproterozoic (part); Camb., Cambrian; Ord., Ordovician; Sil., Silurian; Dev., Devonian; Carb., Carboniferous; Perm., Permian; Tri., Triassic; Palg., Paleogene; Ng., Neogene; Q., Quaternary. Myr, million years. — Nature
Convergent genome evolution shaped the emergence of terrestrial animals, Nature (open access)
Astrobiology, evolution,