Astrochemistry

The Impact Of Surface Acetylene Cyclotrimerization On The Abundance Of Aromatic Hydrocarbons In Carbon-rich Asymptotic Giant Branch Stars

By Keith Cowing
Status Report
astro-ph.GA
December 10, 2025
Filed under , , , , , , , , , , ,
The Impact Of Surface Acetylene Cyclotrimerization On The Abundance Of Aromatic Hydrocarbons In Carbon-rich Asymptotic Giant Branch Stars
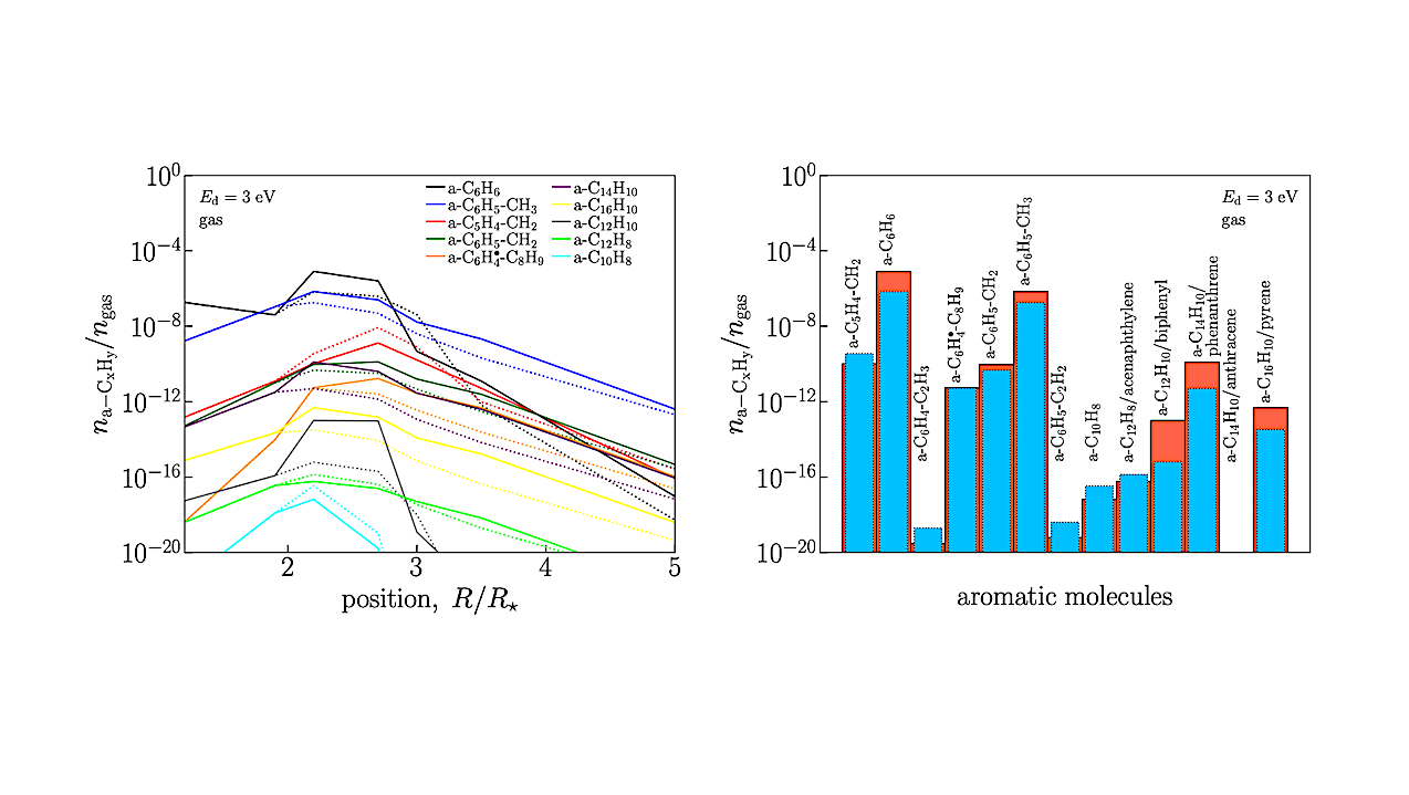
Left: Gas-phase abundances of aromatic molecules versus distance from the star calculated with CTM (solid lines) and without it (dotted lines). Right: Gas-phase abundances of aromatic molecules at R = 2.7 R⋆. The red color indicates the model with CTM. The blue color shows the model without it. — astro-ph.GA

This work investigates the catalytic role of dust grains in forming aromatic hydrocarbons via acetylene cyclotrimerization on their surfaces within the circumstellar envelopes of carbon-rich asymptotic giant branch (AGB) stars.

We present a comprehensive computational astrochemical model coupling the gas-phase, gas-surface, and surface (cyclotrimerization) reactions, and the physical evolution of the dust grains (coagulation). The model expands upon the basic chemical network from previous models, enhancing them with updated reactions involving hydrocarbons up to pyrene.

We applied this model to simulate the chemical evolution of the envelope of the prototypical AGB star IRC+10216, utilizing physical conditions derived from a hydrodynamical model available in literature. To quantify the impact of surface chemistry, we compared scenarios with and without the cyclotrimerization reaction, further testing the sensitivity of our results by varying the key parameter of hydrocarbon desorption energy.

We find that surface-catalyzed cyclotrimerization is a viable pathway for aromatic formation in circumstellar environments, capable of enhancing the total abundance of aromatic species by up to an order of magnitude. Crucially, we show that gas-phase chemistry and dust surface processes are intrinsically linked; their synergistic evolution should be modeled self-consistently to accurately predict chemical abundances.

This work underscores that constraining uncertain parameters, particularly desorption energies of hydrocarbons, is essential for future realistic modeling of astrochemical processes in evolved stellar systems.

M. S. Murga, I. V. Loginov, D. S. Wiebe, D. R. Fedotova, V. S. Krasnoukhov, I. O. Antonov

Comments: Accepted to A&A. 14 pages, 6 figures
Subjects: Astrophysics of Galaxies (astro-ph.GA); Solar and Stellar Astrophysics (astro-ph.SR)
Cite as: arXiv:2512.06510 [astro-ph.GA] (or arXiv:2512.06510v1 [astro-ph.GA] for this version)
https://doi.org/10.48550/arXiv.2512.06510
Focus to learn more
Related DOI:
https://doi.org/10.1051/0004-6361/202557089
Focus to learn more
Submission history
From: Maria Murga Mrs
[v1] Sat, 6 Dec 2025 17:43:25 UTC (702 KB)
https://arxiv.org/abs/2512.06510
Astrobiology,

Explorers Club Fellow, ex-NASA Space Station Payload manager/space biologist, Away Teams, Journalist, Lapsed climber, Synaesthete, Na’Vi-Jedi-Freman-Buddhist-mix, ASL, Devon Island and Everest Base Camp veteran, (he/him) 🖖🏻